File:BHfig-Kerr-XiMin.png
From Universe in Problems
Revision as of 11:34, 23 July 2012 by Igor (Talk | contribs) (Radii of innermost stable circular orbits (ISCA), prograde and retrograde, in the Kerr metric)
Size of this preview: 800 × 525 pixels. Other resolutions: 320 × 210 pixels | 3,035 × 1,991 pixels.
Original file (3,035 × 1,991 pixels, file size: 20 KB, MIME type: image/png)
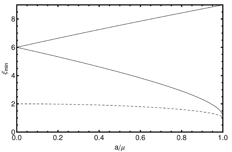
Radii of innermost stable circular orbits (ISCA), prograde and retrograde, in the Kerr metric
File history
Click on a date/time to view the file as it appeared at that time.
| Date/Time | Thumbnail | Dimensions | User | Comment | |
|---|---|---|---|---|---|
| current | 11:34, 23 July 2012 | 3,035 × 1,991 (20 KB) | Igor (Talk | contribs) | Radii of innermost stable circular orbits (ISCA), prograde and retrograde, in the Kerr metric |
- You cannot overwrite this file.
File usage
The following page links to this file: